Découverte d’une Super-Terre à seulement 8 années-lumière de la Terre
Scruter les atmosphères des planètes extra-solaires, en particulier des planètes ressemblant à la Terre, est un objectif crucial de l’astronomie des prochaines décennies. Cela nous permettra notamment de comprendre leurs points communs et leurs différences avec les planètes du Système solaire. « Des observations directes permettant de caractériser les planètes extraterrestres de type terrestre ne seront possibles dans les années à venir que si la cible est une des exoplanètes les plus proches de nous. Il est donc crucial aujourd’hui de découvrir nos plus proches voisins » déclare Xavier Delfosse, chercheur à l’Institut de planétologie et d’astrophysique de Grenoble (IPAG, Université Grenoble-Alpes/CNRS), et responsable d’une équipe recherchant ces exoplanètes voisines.
Cette équipe s’est en particulier focalisée sur les planètes en orbite autour des étoiles de type « naines rouges », de petites étoiles dont la masse est moins de la moitié de celle du Soleil. Pourquoi chercher des planètes autour de ce type d’étoiles ? Les naines rouges représentent 80 % des étoiles de notre galaxie, et sont donc majoritaires parmi les étoiles entourant notre Système solaire. De plus, la moindre masse de ce type d’étoiles facilite la détection de planètes à la fois plus petites (et donc potentiellement de type terrestres), et situées dans la zone habitable de leur étoile (où les conditions seraient favorables à l’apparition de la vie) ; des planètes qui auraient donc des points communs avec la Terre.
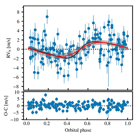
Pour cela les chercheurs utilisent depuis 12 années le spectrographe SOPHIE, installé sur le télescope de 193cm de l’Observatoire de Haute-Provence, située dans les Alpes-de-Haute-Provence (04). C’est ce même télescope qui a permis la découverte de la toute première planète extra-solaire en 1995. « Parmi les étoiles que nous observons, nous avons accumulées 155 mesures sur Gl411 [2], le quatrième système stellaire le plus proche de nous, situé à seulement 8 années-lumière » explique Melissa Hobson, doctorante au Laboratoire d’astrophysique de Marseille (LAM, Aix-Marseille Université/CNRS/CNES). « En analysant de manière très détaillées nos données, il se révèle clairement qu’une planète est en orbite autour de cette étoile ».
Cependant comme l’étoile Gl411 est elle-même plus froide que le Soleil (sa température de surface de 3300°C, contre 5500°C pour le Soleil), Gl411b ne reçoit ainsi de son étoile que 3,5 fois plus d’énergie que la Terre n’en reçoit du Soleil. Cela la place cependant en deçà de la zone habitable, et il est probable que cette planète ait davantage de points communs avec Vénus.
Environ 200 exoplanètes ont déjà été détectées et caractérisées à l’Observatoire de Haute-Provence. Mais Gl411b est la plus proche (et la moins massive) de ces planètes puisqu’il s’agit, au moment de sa découverte, de la troisième exoplanète la plus proche de notre Système solaire. « Sa proximité et sa luminosité en font une cible idéale pour de futures études destinées notamment à étudier son atmosphère » confie Rodrigo Díaz de l’Université de Buenos Aires, chercheur associé à l’Institut d’astrophysique de Paris (IAP, CNRS/Université Pierre & Marie Curie), et premier auteur de la publication. « Des telles études semblent pouvoir être à la portée de l’instrumentation qui sera installée sur l’ELT [4]. » Gl411b constituerait alors (avec Proxima Centauri b, découverte en 2016) l’une des deux cibles les mieux adaptées à une caractérisation par imagerie directe. Elle permettra notamment d’aider à comprendre le comportement des planètes juste en deçà de la zone habitable, et de mieux saisir les limites de celle-ci.
***Source
The SOPHIE search for northern extrasolar planets. XIV. A temperate (Teq∼300 K) super-earth around the nearby star Gliese 411,R. F. Díaz, X. Delfosse, M. J. Hobson, I. Boisse, N. Astudillo-Defru, X. Bonfils, G. W. Henry, et al. Astronomy & Astrophysics (2019),
Publication :
***Contacts scientifiques
– Xavier Delfosse , IPAG / OSUG | xavier.delfosse univ-grenoble-alpes.fr I 04 76 63 55 10
– Rodrigo Diaz, Université de Buenos Aires, CONICET, IAP (chercheur associé),diaz iap.fr
► Cet article a initialement été publié par l’INSU
Publié le 19 février 2019
[1] 1. Les laboratoires français impliquées sont : l’Institut de planétologie et d’astrophysique de Grenoble (IPAG, Université Grenoble-Alpes/CNRS), le Laboratoire d’astrophysique de Marseille (LAM, Aix-Marseille Université/CNRS/CNES), l’Institut d’astrophysique de Paris (IAP, CNRS/Université Pierre & Marie Curie), l’Observatoire de Haute-Provence (OHP, CNRS/Aix-Marseille Université/Institut Pythéas).
[2] Aussi appelé Lalande 21185, située dans la constellation de la Grande Ourse.
[3] Unité astronomique, égale à la distance entre la Terre et le Soleil
[4] Extremely Large Telescope, le prochain télescope géant de l’ESO, en cours de construction au Chili et opérationnelle d’ici 2025.
Mis à jour le 4 octobre 2019
Intranet
