Des fossiles découverts dans un environnement hydrothermal vieux de 3,42 milliards d’années
Une équipe de recherche, impliquant des chercheurs de l’Institut des sciences de la Terre de Grenoble, ISTerre/OSUG (CNRS/IRD/Université Grenoble Alpes/Université Savoie Mont Blanc), s’est penchée sur des microfossiles carbonés exceptionnellement préservés, découverts dans un environnement hydrothermal sous-marin vieux d’environ 3,42 milliards d’années. Il se trouve dans la ceinture des roches vertes de Barberton, communément considérée comme le “berceau de la vie“ en Afrique du Sud. Ces microfossiles uniques, intégrés dans un paléo-environnement favorable, permettent de chercher des marqueurs du métabolisme cellulaire à travers l’analyse de métaux particuliers. En effet, les réactions biochimiques sont catalysées par des protéines qui contiennent des métaux de transition, en particulier du nickel.
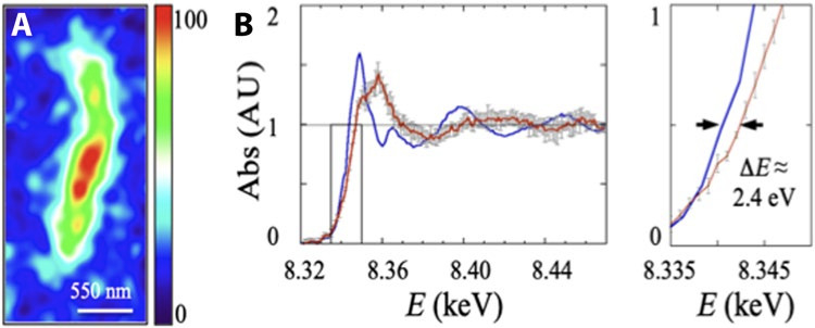
Pour cela, les scientifiques ont étudié un filament biogénique issu d’un de ces microfossiles. La nano-spectroscopie d’absorption XANES, qui permet d’analyser l’environnement chimique au voisinage des métaux, a été mise-en-œuvre pour la première fois à 50 nm de résolution spatiale. Elle a révélé une concentration en nickel compatible avec celle des protéines actuelles impliquées dans le métabolisme anaérobie (sans oxygène) du méthane. En parallèle, l’équipe de recherche a analysé la composition isotopique des carbonates en contacts avec ce filaments, en utilisant un spectromètre de masse à source ionique (SIMS- service national des sondes ioniques de l’INSU à Nancy). Cette méthode qui permet de sonder les minéraux avec une résolution spatiale de l’ordre de la dizaine de microns a révélé des compositions compatibles avec celle de l’eau de mer, et permis de mettre en évidence la circulation de fluides dans un système hydrothermal favorable au développement des organismes vivants.
Ces différents résultats indiquent qu’il y a 3,42 milliards d’années, il existait, sous le plancher océanique, des formes de vie capables de métaboliser le méthane dans un environnement pauvre en oxygène.
Référence
Cellular remains in a 3.42-billion-year-old subseafloor hydrothermal environment.B. Cavalazzi, L. Lemelle, A. Simionovici, S. L. Cady, M. J. Russell, E. Bailo, R. Canteri, E. Enrico, A. Manceau, A. Maris, M. Salomé, E. Thomassot, N. Bouden, R. Tucoulou et A. Hofmann. Science Advances, 2021 DOI : 10.1126/sciadv.abf3963
Contact scientifique
– Alexandre Simionovici, ISTerre/OSUG
Mis à jour le 14 septembre 2021
Intranet

