Paramètres fondamentaux des étoiles A-F
Laboratoire(s)/équipe(s) du LabEx OSUG impliqué(e.s) : IPAG, Observatoire de la Côte d’Azur
Porteur du Projet : Karine PERRAUT
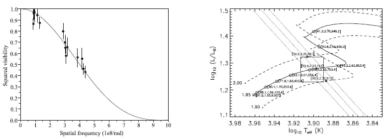
L’interférométrie optique permet la mesure directe de diamètres stellaires essentiels pour déterminer le rayon linéaire ou la température effective d’une étoile. Ces grandeurs sont directement reliées à la structure interne de l’étoile et déterminent son évolution. Elles sont aussi essentielles pour l’étude des exo-planètes. Nous proposons de combiner les compétences en interférométrie optique (IPAG/Cristal, OCA) et en recherche d’exoplanètes (IPAG/Fost) pour mesurer les diamètres angulaires d’un échantillon d’étoiles A-F (étoiles de quelques masses solaires), déduire leurs paramètres fondamentaux, étudier leur activité (taches de surface, champ magnétique, pulsations, …) et l’implication sur la détectabilité des planètes. Ce projet s’appuie fortement sur les performances uniques de l’instrument VEGA (précision de 2% sur la mesure de rayon) et sur l’expertise du groupe présentant cette demande (Cristal, Fost, OCA).
© Perraut et al. A&A, 559, A21.
Montant accordé : 3 700 € en 2012, 4 680 € en 2013
Bilan :
Mis à jour le 27 juillet 2016
Intranet
